di Mariachiara Borrelli e Grazia Sanfilippo
“Può il battito d’ali di una farfalla in Brasile scatenare un tornado in Texas?”
Questo famoso interrogativo è in realtà il titolo di un articolo pubblicato nel 1972 dal matematico e meteorologo Edward Norton Lorenz.
Il professore del Massachussets Institute of Technology era impegnato a studiare alcuni modelli metereologici quando si rese conto che un arrotondamento apparentemente insignificante di alcuni dati creava un risultato significativamente diverso.
All’inizio della sua analisi, infatti, egli costruì un modello matematico per prevedere le variazioni atmosferiche. In una prima simulazione utilizzò variabili a 6 cifre decimali, durante la seconda simulazione, decise di arrotondare le stesse variabili a 3 cifre decimali.
Con grande sorpresa di Lorenz, i risultati ottenuti furono sensibilmente diversi: nel corso del tempo le traiettorie dei sistemi analizzati iniziavano a divergere tra loro per via delle piccole variazioni apportate inizialmente e i risultati divergevano. Di fatto, Lorenz si trovò davanti a due previsioni metereologiche totalmente diverse: la prima prevedeva un clima sereno, mentre la seconda una forte perturbazione.
Le piccole variazioni apportate avevano causato risultati totalmente diversi ed è proprio su questi che si fonda la teorizzazione dell’effetto farfalla, che prende il nome dal grafico elaborato da Lorenz, simile alle ali di una farfalla.
LA TEORIA DEL CAOS
Dal punto di vista strettamente matematico, ciò che Lorentz aveva sperimentato nella sua analisi dei modelli meteorologici prende il nome di “dipendenza sensibile alle condizioni iniziali”. Ciò significa che, all’interno di un sistema caotico, ogni minima – infinitesima – variazione nelle condizioni iniziali del sistema stesso provoca una variazione più che considerevole nell’esito futuro.
Sostanzialmente – presi due eventi differenti – per quanto piccole possano essere le discrepanze iniziali, il risultato finale sarà estremamente differente. Traslato nel mondo psicologico e sociale, ciò significa che nel momento in cui si sceglie di compiere un’azione anche minimamente diversa dal solito, l’effetto finale potrebbe apparirci come considerevolmente differente.
L’esperimento di Lorentz aveva introdotto per la prima volta nel mondo della fisica l’ipotesi di una “teoria del caos”. A differenza di quanto suggerisce il nome, tuttavia, questo caos non implica casualità: il sistema deterministico continua a valere.
È bene notare, infatti, che nella teoria del caos per sistema caotico si intende un sistema che sia principalmente:
- Dinamico, ovvero un modello in grado di evolvere nel tempo descritto da un’equazione differenziale (se l’evoluzione è continua) o da un’iterazione di una funzione (se l’evoluzione è discreta)
- Sensibile alle condizioni iniziali
Si tratta quindi di un caos ordinato, sempre descrivibile e rappresentabile analiticamente.

L’ATTRATTORE DI LORENZ
Esiste, infatti, una regione limitata dello spazio in cui, dopo un tempo sufficientemente lungo, convergono tutte le condizioni iniziali di un sistema dinamico: questa zona prende il nome di attrattore.
Pensiamo a un pendolo: se lo si lascia muovere liberamente nello spazio senza ostacolarne il moto, questo tenderà sempre più verso un punto fisso fino, poi, a fermarsi proprio in sua corrispondenza.
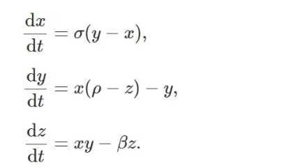
Tuttavia, a differenza della traiettoria di un pendolo semplice, quella di un sistema dinamico caotico non rispetta proprietà particolari: è essa stessa una traiettoria caotica, che tende però a rimanere identica a se stessa anche se si modificano le condizioni iniziali del sistema. Per questo motivo, l’attrattore di Lorenz – che prende il nome proprio dalle tre equazioni differenziali della convezione ipotizzate da Lorenz- è anche definito attrattore strano.
Geometricamente parlando, nello spazio delle fasi, questo attrattore strano che modifica la sua forma e la sua estensione ma non la sua traiettoria assume le sembianze di un’immagine molto peculiare: quella di una farfalla.

FASCINO IRRESISTIBILE
L’effetto farfalla, strettamente legato alla teoria del caos, ha affascinato scrittori e registi. Innumerevoli sono stati gli articoli e i film che hanno trattato questo tema, rendendolo celebre anche al di fuori del mondo scientifico.
Anche il mondo della storia è stato spesso interpretato facendo tesoro di questa teoria. C’è infatti chi sostiene che alla base dello scoppio della Prima Guerra Mondiale ci sarebbe la noia di Sophie, moglie dell’arciduca dell’impero austro-ungarico Francesco Ferdinando, che avrebbe insistito affinché i due andassero in visita reale a Sarajevo. Certo, è chiaro che la complessità del mondo e degli eventi storici è molto più complessa di così, ed è altrettanto chiaro che ci sono miriadi di variabili che hanno portato allo scoppio del primo grande conflitto mondiale, ma la domanda che resta in sospeso è: cosa sarebbe successo se l’arciduca non avesse sfilato per le strade di Sarajevo insieme alla moglie, quel 28 giugno 1914?
Sebbene l’utilizzo di questa teoria per affrontare tematiche storiche possa sembrare approssimativo, un esempio calzante è quello che può avere a che fare con la vita di ognuno di noi. Immagina di svegliarti dieci minuti dopo una mattina, vestirti velocemente e correre fuori casa per andare a lavoro. L’attenzione decresce, decidi di attraversare nel momento sbagliato e vieni investito da un’auto. La tua giornata irrimediabilmente cambia e insieme ad essa anche quella di chi è in coda ad attendere i soccorsi, dei tuoi datori di lavoro, dei tuoi familiari. Insomma, un vero e proprio effetto domino modifica il risultato finale, quello che di fatto ottieni ogni mattina: arrivare a lavoro.
Qualunque nostra scelta, anche la più piccola e inconsapevole, ha delle conseguenze sulla nostra vita e su quella altrui, di fatto tenendoci legati a doppia mandata a questo mondo.


Lascia un commento